中文 English 網站地圖 百度蜘蛛 在線留言

杭州羞羞漫画WWW成人漫画樱除濕設備有限公司

logo

濕度問題係統化解決方案的營運商 專業的轉輪除濕機生產廠家,專注於工業除濕設備生產!

0571-88532337

21年

轉輪除濕機濕度單位%RH是什麽意思

返回列表 來源: 羞羞漫画WWW成人漫画樱泰除濕 發布日期: 2019.07.19

總所周知,轉輪除濕機是一種用來解決潮濕問題的專業設備,通常用於製藥、鋰電、食品等工藝儲存中防潮除濕,降低環境中過濕的水分確保工藝過程的安全生產。

轉輪除濕機的除濕效果表達是使用濕度單位RH,轉輪除濕機濕度單位%RH是什麽意思?RH就是相對濕度,是用露點溫度來定義的。今天羞羞漫画WWW成人漫画樱來了解一下濕度中的絕對濕度、相對濕度及其計算公式。

濕度的名詞解釋:

在計量法中規定,濕度定義為“物象狀態的量”。日常生活中所指的濕度為相對濕度,%RH表示。總而言之,即氣體中(通常為空氣中)所含水蒸氣量(水蒸氣壓)與其空氣相同情況下飽和水蒸氣量(飽和水蒸氣壓)的百分比。

絕對濕度

絕對濕度是指一定體積的空氣中含有的水蒸氣的質量,一般其單位是克/立方米。絕對濕度的最大限度是飽和狀態下的最高濕度。絕對濕度隻有與溫度一起才有意義,因為空氣中能夠含有的濕度的量隨溫度而變化,在不同的溫度中絕對濕度也不同,因為隨著溫度的變化空氣的體積也要發生變化。但絕對濕度越靠近最高濕度,它隨溫度的變化就越小。

計算絕對濕度的公式:

1

其中的符號分別是:

e–蒸汽壓,單位是帕斯卡(Pa)

–水的氣體常數=461.52J/(kg K)T–溫度,單位是開爾文(K)

m–在空氣中溶解的水的質量,單位是千克(kg)

V–空氣的體積,單位是立方米(m)。

相對濕度(RH)

一台濕度計正在記錄相對濕度相對濕度是絕對濕度與最高濕度之間的比,它的值顯示水蒸氣的飽和度有多高。相對濕度為100%的空氣是飽和的空氣。相對濕度是50%的空氣含有達到同溫度的空氣的飽和點的一半的水蒸氣。相對濕度超過100%的空氣中的水蒸氣一般凝結出來。隨著溫度的增高空氣中可以含的水就越多,也就是說,在同樣多的水蒸氣的情況下溫度升高相對濕度就會降低。因此在提供相對濕度的同時也必須提供溫度的數據。通過相對濕度和溫度也可以計算出露點。

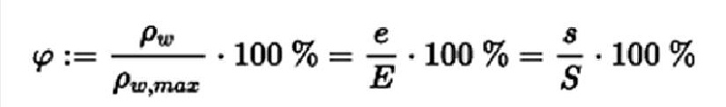
以下是計算相對濕度的公式:

相對濕度計算公式

其中的符號分別是:

ρw –絕對濕度,單位是克/立方米

ρw,max –最高濕度,單位是克/立方米

e –水汽壓,單位是帕斯卡

E –飽和水汽壓,單位是帕斯卡

s –比濕,單位是克/千克

S –最高比濕,單位是克/千克

杭州羞羞漫画WWW成人漫画樱除濕設備有限公司技術人員占總人數的30%,主要開發製造、銷售和管理人員均具有數十年從事除濕設備產業的經驗,曾負責過由國家立項的除濕機研製項目,並通過鑒定;曾獲得過國內的除濕機研製項目省部級科技進步獎,並被評為國家級新產品;有多項 除濕機國家專利,曾負責過多項國內外大型工程,並獲得用戶好評。

谘詢熱線

0571-88532337

杭州羞羞漫画WWW成人漫画樱除濕設備是一家專業的轉輪除濕機生產廠家,專注工業除濕設備生產領域服務!

  • 杭州羞羞漫画WWW成人漫画樱除濕設備有限公司 版權所有  備案號:浙IPC備09015514號-1    百度統計
  • 客戶熱線:0571-88532337 88532339 18858152776
  • 技術谘詢:0571-88532528 18858155308 傳真:0571-88532038
  • 郵箱:peritek@ks-driver.com
  • QQ:200816924
  • 網址:www.ks-driver.com
  • 地址:杭州市餘杭區瓶窯鎮鳳都工業園鳳城路9-2號
  • 深圳辦事處:深圳市龍華新區大浪華榮路
  • 沈陽辦事處:沈陽市沈河區北站路146號嘉興國際大廈2024室  聯係人:胡成華 電話:15998811685

掃一掃二維碼

  • 羞羞漫画WWW成人漫画樱泰公眾號  
網站地圖